合作客戶/
拜耳公司 |
同濟大學 |
聯合大學 |
美國保潔 |
美國強生 |
瑞士羅氏 |
相關新聞Info
-
> 氣體富集、雜質對固-液界面納米氣泡接觸角的影響——引言、實驗儀器與試劑
> 單一表面活性劑在活性劑CMT焊接中的作用機理
> 3種不同類型噴霧助劑對氟啶蟲胺腈藥液表面張力及在蘋果葉片潤濕持留性能測定(一)
> 農藥助劑對70%吡蟲啉水分散粒劑在小麥葉片上附著性能的影響
> 溫度對水—十二烷基硫酸鈉體系與純水體系界面張力、厚度的影響——模擬方法
> 表面張力儀分析氣潤濕反轉劑對緩解煤層水鎖效應、解吸速率影響(一)
> 不同溫度對氫氟醚HFE7000、HFE7200表面張力和黏度影響(二)
> 中科院江雷及團隊提出鋪展概念及其表征方法
> 反離子鹽KBr濃度對酰胺基陽離子Gemini表面活性劑的表/界面活性的影響(一)
> 烷基-β-D-吡喃木糖苷溶解性、表面張力、乳化性能等理化性質研究(四)
推薦新聞Info
-
> 不同礦漿濃度、粒度、伴生礦物、捕收劑和起泡劑對礦漿表面張力的影響(三)
> 不同礦漿濃度、粒度、伴生礦物、捕收劑和起泡劑對礦漿表面張力的影響(二)
> 不同礦漿濃度、粒度、伴生礦物、捕收劑和起泡劑對礦漿表面張力的影響(一)
> 長慶油田隴東地區的CQZP-1助排劑表/界面張力測量及現場應用(三)
> 長慶油田隴東地區的CQZP-1助排劑表/界面張力測量及現場應用(二)
> 長慶油田隴東地區的CQZP-1助排劑表/界面張力測量及現場應用(一)
> 液膜斷裂點與電壓最大值在表面張力測量中的對比研究(二)
> 液膜斷裂點與電壓最大值在表面張力測量中的對比研究(一)
> ?表面張力與表面張力系數測量:概念、方法與科學意義
> 微重力下二極對非均勻旋轉磁場控制半浮區液橋表面張力對流的數值研究(下)
裂縫性水封氣藏解封過程中潤濕反轉劑濃度、氣水界面張力變化(二)
來源:天然氣工業 瀏覽 1152 次 發布時間:2025-02-07
2裂縫性水封氣藏解封孔隙尺度模擬
在明確儲層物性、潤濕性、水封程度、裂縫壓力對解封壓差影響規律的基礎上,建立裂縫性水封氣藏解封的微觀排水孔隙尺度模型,研究壁面潤濕性、氣水界面張力和裂縫壓力對微觀氣驅排水和解封效率的影響規律,揭示解封過程的微觀排水作用機制。
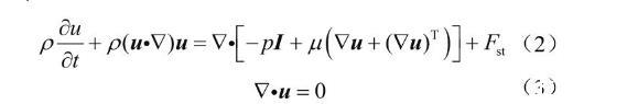
2.1控制方程
在計算流體力學中,控制方程是描述流體運動的基本數學方程。控制方程主要包括動量守恒方程(N—S方程)和質量守恒方程(連續性方程),如下所示[36]:
式中ρ表示流體密度,kg/m3;u表示速度矢量,m/s;p表示壓力,Pa;I表示單位矩陣;μ表示流體的動力黏度,mPa·s;Fst表示氣水兩相的界面張力,N/m。
2.2界面追蹤方程
為更準確地模擬微觀排水過程的氣水兩相流動行為,通過N—S方程和質量守恒方程描述多相流體流動機制,同時耦合關于相變量的界面追蹤法(水平集法、流體體積法、相場法等)追蹤氣水界面。本文采用水平集方法,該方法可以在固定網格上進行數值計算,大幅降低計算復雜度。在氣水兩相流中,引入水平集函數(φ)來定義各自的體積分數,用來描述具有一定厚度的相界面,它是一個從0到1呈梯度變化的值,其中φ=0表示流體為氣相,φ=1表示流體為水相,取φ=0.5的等值面作為相界面。水平集方法相變量的演化方程如式(4)所示,描述了微觀排水過程的氣水界面變化[37-38]。
式描述相界面的移動,其中表示時間的積累項,表示對流項,φ表示水平集函數;γ表示水平集函數重新初始化參數,m/s;ε表示界面厚度參數,m。
計算域內氣水兩相流體的全局密度和動力黏度,以滿足水平集函數的平滑階躍特性[39]:
式中ρw、ρg分別表示水、氣的密度,kg/m3;μw、μg分別是水、氣的黏度,mPa·s。
2.3邊界與初始條件
氣水兩相微觀滲流仿真中,提出以下假設條件:初始化狀態下孔隙域內全飽和為水相;左端入口面為氣相,滿足定流邊界條件,右端出口面為定壓邊界條件,入口和出口處的初始狀態方程如式(6)所示;四周為封閉邊界,無流體通過,封閉壁面的邊界條件如式(7)所示[36,40]。
式中n表示固體壁面的單位法向量;u0表示入口處的速度,m/s;p1表示出口處的壓力,Pa,nwall表示封閉邊界的單位法向量。
2.4模型建立
采用物理場數值模擬方法建立水封氣藏解封預測模型,研究氣體驅動排水過程中儲層孔隙內的氣水兩相滲流機制。首先,提出儲層真實孔隙模型建立方法:基于CT掃描技術對巖心柱進行精細成像,通過圖像處理技術獲得其灰度圖像;經過降噪、濾波、二值化等步驟,運用Avizo軟件構建出高精度的3D立體真實孔隙模型;然后,從模型中提取典型的孔喉結構(直徑143μm,長度400μm的圓柱體,與實驗巖心尺寸比例一致),導入COMSOL Multiphysics軟件以構建基礎模型。最后,通過模擬實驗實時追蹤氣水兩相界面的動態變化,探究氣水兩相滲流特征查明影響氣驅排水效果的關鍵因素,如注入速度、巖石壁面潤濕性、氣水界面張力和出口端壓力等,揭示氣驅排水過程的微觀兩相滲流機理。





