合作客戶/
拜耳公司 |
同濟大學 |
聯合大學 |
美國保潔 |
美國強生 |
瑞士羅氏 |
相關新聞Info
推薦新聞Info
-
> 不同礦漿濃度、粒度、伴生礦物、捕收劑和起泡劑對礦漿表面張力的影響(三)
> 不同礦漿濃度、粒度、伴生礦物、捕收劑和起泡劑對礦漿表面張力的影響(二)
> 不同礦漿濃度、粒度、伴生礦物、捕收劑和起泡劑對礦漿表面張力的影響(一)
> 長慶油田隴東地區的CQZP-1助排劑表/界面張力測量及現場應用(三)
> 長慶油田隴東地區的CQZP-1助排劑表/界面張力測量及現場應用(二)
> 長慶油田隴東地區的CQZP-1助排劑表/界面張力測量及現場應用(一)
> 液膜斷裂點與電壓最大值在表面張力測量中的對比研究(二)
> 液膜斷裂點與電壓最大值在表面張力測量中的對比研究(一)
> ?表面張力與表面張力系數測量:概念、方法與科學意義
> 微重力下二極對非均勻旋轉磁場控制半浮區液橋表面張力對流的數值研究(下)
3種反應型陽離子Gemini表面活性劑合成、表征和性能測試(上)
來源:化工進展 瀏覽 1457 次 發布時間:2025-02-08
Gemini表面活性劑[1-2],通過化學鍵將兩個常規單鏈表面活性劑聯接在一起,降低離子頭基間的靜電斥力,使得表面活性劑在溶液中形成氣/液界面吸附層和在體相中聚集體分子的有序組織更加緊密的排列。因此比常規表面活性劑具有更高的表/界面活性、低的臨界膠束濃度、良好的水溶性及獨特的流變性等[2-4],故廣泛用于油氣開采、化學化工、納米材料、生物技術、日用化學等各個方面[5-7]。近年來Gemini表面活性劑發展迅速,已引起研究者的廣泛興趣和研究[8-10],同時如何實現表面活性劑的多功能化更是其發展的重要方向之一[11-14]。本文采用甲基丙烯酸二甲氨基乙酯(DM)、環氧氯丙烷(ECH)和3種長鏈烷基叔胺為主要原料,合成了3種反應型陽離子Gemini表面活性劑,即將羥基和碳碳雙鍵同時引入到不對稱Gemini表面活性劑分子結構中使其帶有反應基團,可在乳液聚合、表面吸附、相轉移催化等領域具有潛在的優勢和應用前景。
1實驗部分
1.1主要試劑和儀器
十二烷基二甲基叔胺、十四烷基二甲基叔胺、十六烷基二甲基叔胺,上海金山經緯化工有限公司,工業品(含量>98%);甲基丙烯酸二甲氨基乙酯(DM)、環氧氯丙烷(ECH),化學純;濃鹽酸(36.5%)、異丙醇,化學純,國藥集團化學試劑有限公司。
傅里葉變換紅外光譜儀,VECTOR-22型,德國Bruker公司;核磁共振儀,ADVANCEIII 400MHz型,德國Bruker公司;元素分析儀,Vario ELⅢ型,德國Elemeraor公司;表面界面張力儀,芬蘭Kibron公司。
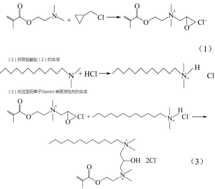
1.2反應原理(以合成C12-3(OH)-DM為例)
(1)環氧丙基季銨鹽(1)的合成
(2)叔胺鹽酸鹽(2)的合成
(3)反應型陽離子Gemini表面活性劑的合成
1.3合成步驟
1.3.1環氧丙基季銨鹽(1)的合成
在裝有電動攪拌裝置、恒壓滴液漏斗和回流冷凝器的三口燒瓶中加入0.05mol DM和15mL異丙醇溶劑,放入60℃恒溫水浴鍋中,攪拌均勻后,開始滴加0.065mol ECH,約30min滴完,繼續反應4h,用莫爾法測其反應轉化率,反應結束后立即減壓旋轉蒸餾除去溶劑和過量環氧氯丙烷,用乙酸乙酯和乙醇以體積比7∶3的混合液進行重結晶,重復3次,真空干燥,得淡黃色膏狀環氧丙基季銨鹽中間體(1)9.28g,供第三步使用[15-16]。
1.3.2叔胺鹽酸鹽(2)的合成
在三口燒瓶中加入0.05mol長鏈烷基叔胺(分別為十二叔胺、十四叔胺、十六叔胺),室溫攪拌下,開始滴加0.054mol的18%鹽酸溶液,約30min滴完,繼續反應30min,反應結束后立即減壓抽濾,用丙酮沖洗產物,洗滌3~5次,真空干燥,得白色叔胺鹽酸鹽固狀中間體(2)質量分別為12.08g、13.56g、14.90g,供第3步使用。
1.3.3反應型陽離子Gemini表面活性劑的合成
將上步產物中間體(1)和中間體(2)各取0.05mol一起加入三口燒瓶中,用去離子水作溶劑,溫度控制在75℃,反應時間4h。產物經減壓旋轉蒸餾,粗產物用乙酸乙酯進行重結晶,重復3~5次,真空干燥,分別得到淡黃色反應型陽離子Gemini表面活性劑C12-3(OH)-DM、C14-3(OH)-DM和C16-3(OH)-DM,質量分別為20.92g、22.32g、23.71g。
1.4表征和性能測試
1.4.1目標產物的結構表征
使用德國Bruker公司VECTOR-22型傅里葉變換紅外光譜儀測定紅外光譜,用KBr壓片法制樣,掃描范圍為4000~400cm-1。
使用德國Elemeraor公司Vario ELⅢ型元素分析儀測定化合物中C、H和N的含量,樣品量為2.0~3.0mg(天平精度為l/100000)。
使用德國Bruker公司ADVANCEIII 400MHz型核磁共振波譜儀測定核磁共振氫譜,內標為四甲基硅烷(TMS),溶劑為重水。
1.4.2表面性能
采用芬蘭Kibron公司全自動高通量表面張力儀,測試溫度20℃±0.5℃,使用吊片法測定3種合成產物在不同濃度下的表面性能[17-19]。
1.4.3泡沫性能
采用試管振蕩法[20-23]測定表面活性劑的泡沫性能:20℃下,在250mL具塞刻度試管中加入50mL已配好的0.5%的表面活性劑溶液,用力振蕩25次,靜置,記錄不同時間點泡沫和液體在試管中的體積高度。
1.4.4乳化性能
采用量筒法[19,24-27]進行乳化力的測定:用移液管準確量取40mL 0.5%的表面活性劑溶液放入有玻璃塞子的量筒內,再移取40mL氯仿,用力捏緊玻璃塞,上下猛烈振動10下,靜置1min;如此重復3次。立即用秒表記錄時間,此時水油兩相逐漸分開,水相慢慢出現,至水相分出5mL和10mL時,記錄分出水的時間。重復操作3次,取平均值。





