合作客戶/
拜耳公司 |
同濟大學 |
聯合大學 |
美國保潔 |
美國強生 |
瑞士羅氏 |
相關新聞Info
推薦新聞Info
-
> 不同礦漿濃度、粒度、伴生礦物、捕收劑和起泡劑對礦漿表面張力的影響(三)
> 不同礦漿濃度、粒度、伴生礦物、捕收劑和起泡劑對礦漿表面張力的影響(二)
> 不同礦漿濃度、粒度、伴生礦物、捕收劑和起泡劑對礦漿表面張力的影響(一)
> 長慶油田隴東地區的CQZP-1助排劑表/界面張力測量及現場應用(三)
> 長慶油田隴東地區的CQZP-1助排劑表/界面張力測量及現場應用(二)
> 長慶油田隴東地區的CQZP-1助排劑表/界面張力測量及現場應用(一)
> 液膜斷裂點與電壓最大值在表面張力測量中的對比研究(二)
> 液膜斷裂點與電壓最大值在表面張力測量中的對比研究(一)
> ?表面張力與表面張力系數測量:概念、方法與科學意義
> 微重力下二極對非均勻旋轉磁場控制半浮區液橋表面張力對流的數值研究(下)
N-月桂酰肌胺酸鈉水溶液在不同PH下的界面性質及聚合性能的研究
來源:上海謂載 瀏覽 2724 次 發布時間:2022-08-23
摘要
通過測量磷酸鹽和硼酸鹽緩沖液水溶液中的界面張力、熒光、動態光散射等,研究了陰離子表面活性劑正十二烷基肌氨酸鈉(SLAS)的pH依賴性。SLAS的界面張力(γ)隨著pH值的降低而顯著降低,并在pH>7.3時保持恒定。臨界膠束濃度(cmc)和表面活性劑濃度(在其γ值比純水(C20)降低20 mN/m時)的觀察值隨著pH值降低而降低,而在pH>6.5和>7.3的情況下也分別保持恒定。另一方面,當pH<7.3時,SLAS的界面過量增加。通過添加取代SLAS的Na+的Tl+進一步研究了這些界面行為。LAS的觀測γ值?考慮到靜電相互作用和親水性頭基的分子結構,詳細討論了這些界面和膠束性質。
介紹
表面活性劑的兩親性決定了它們在空氣-水界面以單層形式自組裝;隨后,界面的飽和導致它們在稱為膠束的本體溶液中以聚集體的形式形成。這些膠束在稱為臨界膠束濃度(cmc)的特定濃度附近形成。兩親性表面活性劑分子的界面和膠束性質顯著依賴于表面活性劑的結構(頭和尾基團)以及溶液的pH和溫度等其他因素。由于水的高內聚能密度,表面活性劑在水溶液中自組裝。除了熵貢獻外,還有兩種主要的力,如疏水尾部之間有利于膠束化的范德華吸引相互作用和極性頭基之間的排斥相互作用,后者反對膠束化。與非離子表面活性劑相比,離子型表面活性劑的反作用可能更為顯著,這可以解釋離子型表面表面活性劑與非離子型表面活化劑相比具有更高cmc值的原因。正鏈烷酰基肌氨酸鹽(IUPAC:2-[鏈烷酰基(甲基)氨基]乙酸鹽)衍生自肌氨酸和脂肪酸。肌氨酸存在于我們的肌肉中。它是甜的味道,沒有任何毒性,并用于食品。它很容易溶于水。肌氨酸在正鏈烷酰基肌氨酸的結構中起親水基團的作用。此外,由于其烴鏈的疏水性,它們充當表面活性劑并降低界面張力。由于正烷酰基肌氨酸在其結構中含有肌氨酸,因此它們也具有可生物降解的特性,并且沒有毒性。因此,它們被認為是環保的,用于化妝品和醫藥應用,對許多功能化合物如紫外線吸收劑具有優異的溶解性[1,2]。換句話說,它們被稱為“氨基酸表面活性劑”,因為它們的結構中存在氨基酸殘基,這是一種弱酸,不同于硫酸表面活性劑,如N-烷基硫酸鹽,因此它們在pH依賴性行為上可能彼此不同。N-烷酰基肌氨酸鹽的每極性頭基面積明顯大于N-烷基硫酸鹽[3–6]。隨后,頭基團之間的空間位阻將增加,因此,預計界面吸附和膠束聚集行為將受到影響。含有正鏈烷酰基肌氨酸的表面活性劑的二元混合物的行為與單一正鏈烷酰肌氨酸溶液的行為一樣有趣。Varade等人通過滴重界面張力法研究了N-十四烷基肌氨酸鈉與離子和非離子表面活性劑混合膠束化過程中的相互作用[7]。然而,在弱酸和強酸表面活性劑的二元混合溶液中,如果不使用合適的緩沖液,溶液的pH通常隨弱酸表面活性的濃度而變化。溶液中的pH變化可能會影響弱酸表面活性劑的界面和聚集性能,并使系統復雜化。由于我們發現含有正十二烷酰基肌氨酸鈉(SLAS)的二元體系的界面張力很大程度上取決于pH,因此,在磷酸鹽和硼酸鹽緩沖液的精確pH控制下,對SLAS的單組分體系的pH依賴性進行了仔細研究。在本研究中,詳細說明了SLA的界面和膠束性質如何依賴于pH,給出了一致的解釋。本研究還揭示了LAS的反陽離子效應?.因此,預計這有助于含弱酸組分的混合表面活性劑溶液的基礎化學和應用化學。
實驗
材料
正十二烷基肌氨酸鈉(SLAS,純度>99%,Fluka)從乙醇/乙醚中重結晶兩次,并在110°C下減壓干燥1小時。在熱重分析和差熱分析中,該SLAS晶體在90°C左右未顯示任何脫水跡象,其熔點為154.5°C。購買并使用了芘(Py,純度>99%,日本納卡萊)、1-十六烷基吡啶氯化銨(HPYC,純度>98%,日本TCI)、[9-(2-羧基苯基)-6-二乙基氨基-3-黃烯亞基]-二乙基氯化銨(羅丹明B,純度95%,西格瑪-奧爾德里奇)和硫酸鉈(純度99.9%,日本納卡萊),無需進一步純化。通過將二水合磷酸二氫鈉(GR,Nacalai,日本)和磷酸氫二鈉(GR,Nacalai,日本)以及磷酸氫二鈉鹽和十水合四硼酸鈉(GR,和光,日本)在pH>8下混合制備緩沖溶液。除非另有說明,緩沖液的摩爾濃度為50 mM。所有樣品溶液均用通過微孔過濾器(日本Nihon Millipore,Milli-Q Labo,電阻率18.2 MΩcm)純化的純水制備,目測透明。
界面張力測量
使用了Du Nouy環形界面張力計模型AquaPi&EZ-Pi(芬蘭Kibron)。將該張力計放置在一個濕度較高的盒子中,該盒子位于25°C的空調室內。在讀數變為恒定后記錄所有數據,并在25.0°C下將純水的界面張力校正為72.8 mN/m。在測量之前,將所有樣品溶液放置在AquaPi試管中1小時,以達到平衡。
穩態熒光測量
為了研究混合膠束的微極化和聚集數,使用LS-50B型熒光分光光度計(PerkinElmer,USA)在336nm的激發波長下測量芘的熒光強度,同時在360和460nm之間記錄發射光譜。激發和發射單色器的狹縫寬度分別保持為5nm和2.5nm。將芘的摩爾濃度調整為0.5μM。總表面活性劑摩爾濃度(Cs)為25mM,其大于cmc值3.7–4.2mM。芘的第一(I1)和第三(I3)峰的熒光強度比I1/I3用于評估溶解有芘的溶劑的微極性[7],I1/I3比值表示膠束溶液中膠束內部的微極性。
為了通過穩態熒光猝滅法評估膠束的平均聚集數(Nagg),使用芘作為熒光探針,選擇HPYC作為靜態猝滅劑[8]。該方法基于已知濃度的猝滅劑對發光探針的猝滅。通過使用以下等式[8]分析淬火實驗:
其中,I1、0和I1表示在不存在和存在HPYC的情況下Py的第一振動峰的熒光強度,CQ和CS分別表示HPYC和SLAS的總濃度。根據等式1的猝滅曲線斜率和cmc值,我們評估了Nagg值。芘的摩爾濃度保持在0.5μM,而猝滅劑的摩爾濃度在0至100μM之間變化。總表面活性劑摩爾濃度保持在25mM,其遠高于cmc值(本系統的cmc值小于4mM)。由于猝滅劑HPyCl是表面活性劑,其濃度保持小于總表面活性劑摩爾濃度25mM的0.4%,因此猝滅劑不會干擾膠束的組裝。Nagg值的不確定度小于3%。
熒光各向異性測量
所有熒光各向異性測量均由BEACON 2000光譜儀(美國潘維拉)在25.0±0.2°C下進行。該設備配備有100-W鹵素燈作為激勵源,以及裝有循環水浴以控制溫度的恒溫電池容納室。羅丹明B用作熒光探針[9]。探針摩爾濃度保持在1μM。由于在與平均聚集數測量相同的條件下,表面活性劑的總摩爾濃度為25mM,探針濃度遠小于表面活性劑總濃度。分別使用570和630nm的激發和發射波長測量熒光各向異性。發射狹縫和激發狹縫的寬度均為10nm。羅丹明B有望溶解在膠束的表面區域。羅丹明B的各向異性為我們提供了膠束微觀結構變化的信息。探針分子熒光發射的去極化程度是激發態壽命期間其旋轉擴散的量度。穩態各向異性(r)通過Perrin方程[10]與探針周圍的粘度相關:
其中r0是在沒有旋轉自由度的情況下獲得的發射各向異性的極限值,t是熒光團激發態的平均壽命,t是絕對溫度,k是玻爾茲曼常數,V是探針的有效分子體積,η是探針周圍的粘度。從等式2可以清楚地看出,較大的各向異性對應于固定溫度下更剛性的環境。通過以下等式將從信標2000獲得的偏振值(P)轉換為r值。
將探針羅丹明B在膠束介質中的各向異性值作為十個讀數的平均值。
動態光散射測量
對于動態光散射(DLS)測量,使用了高性能粒度儀模型HPPS(Malvern,UK)。激發源為633nm的He–Ne激光。散射角選擇為173°,以減少多次散射。每次測量均使用67.754型一次性塑料比色杯(Sarstedt,德國)。反應杯溫度保持在25.00±0.01°C。
表面活性劑總摩爾濃度也為25 mM。在將樣品溶液引入比色皿之前,我們通過預濾器MILLEX(R)AP20預濾器(Millipore)過濾樣品溶液,以防止灰塵的光散射。所有數據在比色杯設置15分鐘后記錄,并作為10次測量的轉數。膠束的流體動力學半徑(Rh)取三個讀數的平均值。在25.0±0.1°C下,使用DV-II+Pro粘度計(英國布魯克菲爾德)測量相對濕度計算中的粘度值。
1H和13C-NMR測量
Lambda-400(日本JEOL)對SLAS N-十二酰基肌氨酸(HLAS)進行NMR測量。D2O(Uvasol,Merck)和CD3OD(Euriso top)用作含有微量四甲基硅烷的溶劑。通過向SLAS水溶液中滴加稀硫酸制備HLAS。過濾沉淀的HLA并用純水充分洗滌。之后,將其在真空烘箱中在80°C下干燥4小時。
結果和討論
界面性質
圖1無緩沖液時界面張力(γ)與總SLAS摩爾濃度(CS)對數的關系圖
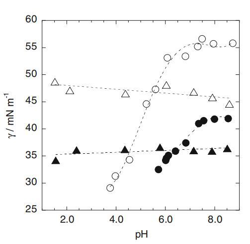
在圖1中,僅含SLAS且不含任何緩沖液的水溶液的界面張力(γ)與總SLAS摩爾濃度(CS)的對數作圖。如圖所示,盡管SLAS仔細重結晶,但γ值出現了異常的最小值。然后,樣品溶液的pH值在浸漬底部約為5.5,并隨CS增加至約8。由于此浸漬應是由取決于SLAS濃度的pH變化引起的,因此所有實驗均在磷酸鹽和硼酸鹽緩沖液控制的恒定pH下進行。則圖1中觀察到的下降在每個值的受控pH下完全消失(見圖2)。cmc后,pH 5.5下的γ值略有增加,因為樣品溶液的pH因其緩沖容量的限制而緩慢增加。在1.0mM(膠束前濃度)和25mM(膠團后濃度)的恒定CS下,γ值相對于pH值繪制在圖3中,其中還繪制了十二烷基硫酸鈉(SDS)的結果作為對比示例。與SDS相比,非常有趣的是,當pH值低于約7時,SLAS的γ值顯著降低。接下來,圖4中繪制了cmc和C20(其γ值比純水的γ值降低20 mN/m時的表面活性劑濃度)與pH的關系圖。這兩個值在較低pH值區域也降低,盡管SDS的pH值不隨pH值而變化(數據未顯示)。此外,如該圖中cmc/C20比率的曲線圖所示,這些比率在pH值小于7.3的區域內增加。該比率的增加通常意味著親水性頭基的尺寸增加和/或表面活性劑的反離子與頭基的結合更緊密[11]。
圖2界面張力(γ)與由50 mM磷酸鹽和硼酸鹽緩沖液控制的不同pH下總SLAS摩爾濃度(CS)的對數關系圖
圖3 CS=1.0和25mm時界面張力(γ)與pH的關系圖:白色crcles 1.0mm SLAS,白色三角形1.0mm SDS,黑色圓圈25mm SLAS,黑色三角形25mm SDS
圖4 cmc、C20和cmc/C20比值與pH的關系圖:白色圓圈cmc、黑色菱形C20、黑色圓圈cmc/C20
表面活性劑的最大界面過量濃度(Γmax)由吉布斯吸附方程估算如下[11]:
其中CS、R和T分別為表面活性劑總濃度、氣體常數和溫度。由于所有樣品溶液都含有過量的鈉鹽作為緩沖液并保持在恒定pH值,因此i值(濃度隨表面活性劑濃度變化的離子種類數)取為1。圖5中繪制了最大值與pH值的關系圖。最大值在小于7.3的pH值下顯著增加,與cmc/C20比值的值相同。這些結果肯定表明,當pH值降至7.3以下時,在溶液表面用H+替換SLAS的Na+,也就是說,在pH值>7.3時,NDO癸酰基肌氨酸陰離子的反陽離子(LAS?)是空氣-水界面處的所有Na+。因此,估計了H+LAS的pKa值?另一方面,在含水體中,我們根據不同SLAS濃度下的pH值,確定了含水體相中HLAS的pKa值為3.3,該pH值在氮氣鼓泡的去火純水中。雖然我們還無法確定組裝的HLA的確切pKa值,因為尚未獲得HLA的最大值,但毫無疑問,其值大于含水體相中HLA單體的值3.3。一些文獻也報道了自組裝過程中pKa值的增加[12,13]。
圖5 SLA的最大界面過量(Γmax)與pH的關系圖
由于LAS的反陽離子?我們研究了鉈陽離子(Tl+)的加入對界面張力的影響。賤金屬的鉈作為單價陽離子存在于水溶液中,其離子化傾向在Na+和H+之間,因此它形成了比Na+更強的離子對,而且Tl+在界面上的吸附量也比Na+。添加Tl2SO4后,在pH 5.5和8.0下測量了SLA的界面張力(圖6),其中界面應首先被H+LAS覆蓋?和Na+LAS?,分別地已在cmc的兩側檢查了反陽離子的影響,即,對于pH 5.5,SLAS摩爾濃度保持恒定在2.5或3.5mM,對于pH 8.0,保持恒定在3.0或4.0mM。根據該圖,與pH 5.0相比,在pH 8.5添加Tl+時,界面張力顯著降低,并且它達到大約70mm的Tl+的幾乎恒定值,其中幾乎所有Na+必須在界面處被Tl+替換。由于pH值為5.5時反陽離子為H+,預計用Tl+取代H+會使界面張力增加,接近Tl+LAS的值?.然而,由于在pH 5.5時界面張力甚至降低,因此不能進行這種置換。在許多離子表面活性劑體系中觀察到,加入Tl2SO4后,離子強度增加可能會導致γ值的這種小幅度降低。因此,可以得出結論,LAS的界面張力?通過不同的反陽離子,其順序為Na+>Tl+>H+。在兩個pH值下,由于cmc也隨著離子強度的增加而降低,因此CScmc處的曲線圖。
圖6不同pH值下取決于Tl+摩爾濃度的界面張力(γ)曲線圖:pH=8.0時,SLAS的白圈3.0mm和黑圈4.0mm,pH=5.5時,SLAS的白圈2.5mm和黑圈3.5mm
聚合特性
為了評估膠束(Nagg)的聚集數,我們使用帶有猝滅劑(HPYL)的探針(Py)的穩態熒光猝滅方法[8]。已發現該探針-猝滅劑對適用于評估幾種膠束系統的Nagg[14,15]。Cs=25 mM時的評估Nagg值如圖7所示。如圖所示,Nagg數值總體上隨著pH值的增加而降低。然而,似乎在pH 6.5-7附近也存在一個斷裂點。如果是這樣,膠束中HLA的pKa預計在6.5到7.0之間,這也比水溶液中的pKa大,就像空氣-水界面的結果一樣。為了進行進一步討論,我們需要更精確地確定這些Nagg值。
圖7 CS=25mM時SLAS膠束的聚集數(Nagg)與pH的關系圖
為了研究膠束內部的微極化,我們測量了溶解在膠束核中的芘的熒光[14]。這是通過在CS>cmc下監測芘的第一和第三振動峰(I1/I3)的熒光比來實現的。CS=10、15、20和25mm時測量的平均I1/I3值匯總在支撐材料中(圖S1)。I1/I3值從1.15到1.19略有增加,pH值從5.5增加到接近7;也就是說,隨著pH值的增加,膠束內部處于極性環境。這可能意味著LAS的親水性頭基?隨著反陽離子從H+置換為Na+,膠束變得更加離子化。因此,由于頭基團之間的排斥力增加,膠束失去了其緊密性。這一結果與Nagg值隨著pH值的增加而降低一致。pH 9附近Nagg值的下降趨勢也可能與I1/I3值的下降相關。
在CS=25mm時膠束的流體動力學半徑(Rh)的值與載體材料中的pH作圖(圖S2)。該值在pH 6.0時約為2.6nM,在pH 6 6.5時降至2.4nM。在保持pH 6.5至7.0期間的值后,該值緩慢增加,并在pH 8時恢復到2.6nm。在pH 6-7.0的相對濕度值中看到的下降趨勢可能與Nagg值的下降直接相關。另一方面,其從pH 7.0到8.0的增加趨勢可能與周圍膠束核的高微極性一致。在pH 7.0–8.0時,幾乎所有反陽離子都變成Na+,因此Nagg和Rh值的下降趨勢停止,并且由于親水性頭基之間的高排斥力,膠束開始膨脹。這可能會使膠束的微極性和相對濕度值有增加的趨勢。
我們還測量了CS=25mM時羅丹明B(RB)的熒光各向異性。這些值與pH值的關系如圖8所示。如圖所示,各向異性值明顯降低,直到pH值為7,并在pH>7時保持恒定。這一結果還反映在膠束親水性頭基中的反陽離子從H+置換為Na+上。由于探針RB可以想象地存在于膠束的親水殼附近,比存在于其疏水核中更有利,因此LAS親水頭之間的排斥力增加?直接導致RB各向異性的降低,即親水性殼變得不那么致密并失去其緊密性。考慮到報道的RB羧基的pKa值為5.5±1.0[16],RB的酸離解導致各向異性值降低的可能性很小。因此,預期這些各向異性數據直接揭示了H+LAS酸解離平衡的影響?在膠束中,界面過剩數據反映了空氣-水界面的過剩數據,如圖5所示。比較這些結果,膠束中的pKa值可能比界面處小約0.5。無論如何,這兩個值都大大大于含水體中的值。自組裝聚集體的pKa值通常大于自由單體[12,13]。
圖8:若丹明B在SLAS膠束(r)處的熒光各向異性與CS=25mM時pH的關系圖
結論
Bordes等人研究了氫鍵對甘氨酸鹽和肌氨酸鹽自組裝的影響[17]。Gad等人研究了具有不同碳鏈長度的N-酰基肌氨酸鹽的界面張力[3]。還對含有SLA的二元混合物與Gemini表面活性劑[18]和陽離子聚合物[19]進行了一些界面研究。然而,這些研究沒有考慮它們的pH影響。Tsubone等人在pH值為10.5[20]時對SLA進行了界面張力測量。然而,SLAS水溶液的界面張力在很大程度上取決于pH,在膠束前和膠束后區域中,當pH小于約7時,其值顯著下降。cmc和C20在較低pH下也會降低,但cmc/C20比在pH<7.3時增加。該比值的增加通常意味著親水頭的尺寸增加和/或與反陽離子的締合增加。在pH<7.3時,Γmax也急劇增加。這些結果清楚地表明,在空氣-水界面的較低pH區域,SLA的Na+陽離子被H+取代。向溶液中加入Tl+,證實LAS的界面張力?并且它們以H+<Na+的順序增加,這與這些結果一致。此外,我們使用1H-NMR和13CNMR研究了D2O和CD3OD中HLA和SLA的結構差異。根據這些結果,例如,來自LAS親水部分中1小時的所有信號?可以想象,HLA和SLA都具有共振結構,(Z)-LAS?和(E)-LAS?,如圖9所示。通過NMR[21,22]的膠束化也報告了這些SLAS異構體的存在。根據分裂峰的積分比,Z/E形式的豐度比確定為SLA為1:1,HLA為2:1。由于E型比Z型體積大,這可能是Γmax隨pH值增加而減小的第二個原因,直到pH值為7.3。另一方面,除了RB的各向異性(在pH<7時明顯增加)外,含水體中的膠束性質對pH的依賴性小于界面性質。然而,在pH值降低時,聚集數和流體動力學半徑的小幅度增加趨勢以及膠束核的微極性的減小趨勢可以很好地解釋為LAS親水性頭基團之間的靜電力減小?由Na+到H+的反陽離子置換引起,與界面性質的情況相同。雖然我們尚未確定界面和膠束中HLA的pKa值,但這些值應大于水溶液中的pKa值(pKa,bulk=3.3);界面處的值可能略大于膠束中的值。pH<7時體積較小的Z型的增加也與膠束性質相容,并可能與膠束親水部分附近RB各向異性的增加直接相關。
圖9 LAS的諧振結構
致謝
我們感謝H.Tsukube教授(日本大阪城市大學科學研究生院)在穩態熒光和動態光散射測量方面的幫助,感謝T.長崎教授(日本大阪城市本科工程研究院)在熒光各向異性測量方面的協助,也感謝Y.教授。Morimoto(日本大阪城市大學科學研究生院)對共振結構(Z)-LAS的討論發表了有益的評論?和(E)-LAS?.PS感謝日本科學促進會(JSPS)授予博士后獎學金。





