合作客戶/
拜耳公司 |
同濟大學 |
聯合大學 |
美國保潔 |
美國強生 |
瑞士羅氏 |
相關新聞Info
推薦新聞Info
-
> 不同礦漿濃度、粒度、伴生礦物、捕收劑和起泡劑對礦漿表面張力的影響(三)
> 不同礦漿濃度、粒度、伴生礦物、捕收劑和起泡劑對礦漿表面張力的影響(二)
> 不同礦漿濃度、粒度、伴生礦物、捕收劑和起泡劑對礦漿表面張力的影響(一)
> 長慶油田隴東地區的CQZP-1助排劑表/界面張力測量及現場應用(三)
> 長慶油田隴東地區的CQZP-1助排劑表/界面張力測量及現場應用(二)
> 長慶油田隴東地區的CQZP-1助排劑表/界面張力測量及現場應用(一)
> 液膜斷裂點與電壓最大值在表面張力測量中的對比研究(二)
> 液膜斷裂點與電壓最大值在表面張力測量中的對比研究(一)
> ?表面張力與表面張力系數測量:概念、方法與科學意義
> 微重力下二極對非均勻旋轉磁場控制半浮區液橋表面張力對流的數值研究(下)
N-月桂基-N-甲基葡萄糖酰胺【上】
來源:上海謂載 瀏覽 1756 次 發布時間:2022-09-08
摘要
采用界面張力測量和熒光技術研究了非離子表面活性劑癸酰基-N-甲基葡糖酰胺(Mega-10)與陽離子表面活性劑十六烷基三苯基溴化鏻(HTPB)的界面和聚集行為。通過界面張力測量,評估了臨界膠束濃度(cmc)和各種界面熱力學參數。在偽相分離模型、規則溶液理論和Maeda方法的背景下分析了實驗結果。這些方法使我們能夠確定混合狀態下的相互作用參數和組成。采用靜態猝滅法,獲得了HTPB+Mega-10純膠束和混合膠束的平均膠束聚集數。發現隨著HTPB摩爾分數的增加,聚集數減少。這種行為歸因于HTPB的大頭基團的存在,這產生了空間頭基團不相容性和/或靜電排斥。用芘熒光強度比監測膠束的微極性。觀察到,HTPB參與的增加誘導形成具有水合結構的膠束。在膠束介質中監測熒光探針羅丹明B的極化,發現其隨著離子含量的增加而增加。這種行為表明形成具有更有序或剛性結構的混合膠束。
介紹
表面活性劑是由于存在極性和非極性部分而具有獨特結構的表面活性劑。它們在空氣-水界面和整體溶液中具有極其重要的物理化學性質。這些特性使表面活性劑在物理、生物物理、制藥、農業和其他工業應用領域中用途廣泛[1-3]。在過去的十年中,混合表面活性劑體系由于其良好的相互作用而受到越來越多的關注。這些相互作用增加了表面活性劑溶液的表面活性、增溶、擴散、潤濕和發泡性能[4-6]。當不同種類的表面活性劑混合時,它們形成混合膠束,這是研究復雜超分子聚集體上分子相互作用的良好模型和生物膜的簡化模型。與純非離子表面活性劑相比,離子和非離子表面表面活性劑混合物的混合膠束顯示出擴大的膠體穩定性。已經詳細研究了常規表面活性劑混合物的混合膠束行為[5]。然而,對非常規表面活性劑混合物,如二、三、多嵌段聚合物和糖基表面活性劑的研究相當少。
非離子表面活性劑是一類兩親物,廣泛應用于不同的工業和藥物制劑中,在生物技術中對膜蛋白的純化、增溶和結晶非常有用。烷基聚糖苷(APG),例如十二烷基麥芽糖苷,是一類非離子表面活性劑,由一個或多個碳水化合物單元作為極性頭基團組成。由于與乙氧基化表面活性劑相比,它們改善了溶液性質,因此受到了相當多的關注[7-9]。APG具有更強的疏水性和親水性,其溶液性質的溫度依賴性不如乙氧基化表面活性劑。此外,它們沒有顯示云現象(即,在高溫下形成相分離)[10,11]。這些表面活性劑可生物降解,對皮膚安全,因此廣泛用于化妝品、清潔和食品[12]。研究了Mega-10的自聚集和過程的物理化學特征[13,14]。但是,Mega-10與其他表面活性劑的相互作用有限[3,15–17]。
在這項工作中,我們給出了純HTPB和Mega-10及其不同比例的二元混合物的實驗結果。首先,我們進行了界面張力測量,以確定HTPB+Mega-10純混合物和二元混合物的混合cmc和界面熱力學參數。根據不同的熱力學模型分析了混合cmc的數據。其次,進行穩態熒光測量,以確定膠束的聚集數和極性,以及它們的斯特恩-沃默結合常數,取決于溶液組成。最后,我們研究了羅丹明B(RB)的極化,以監測不同HTPB摩爾比下混合膠束的剛性。
實驗
材料
來自英格蘭鱷梨的十六烷基三苯基溴化鏻(HTPB)(>98%純度);來自日本TCI的氯化十六烷基吡啶(CPYC),(純度>98%);來自Sigma的癸酰基N甲基葡糖酰胺(Mega-10)(純度98%)和羅丹明B(RB)(純度約95%);使用來自日本Nacalai Tesque的芘(>99%純度),無需進一步純化。所有溶液均在從Direct-Q Millipore系統獲得的電阻率為18.2 MΩcm的Milli-Q水中制備。
界面張力
使用來自芬蘭Kibron的EZ-PI界面張力計測量界面張力。該儀器配有傳感器探頭和反應杯支架。將4毫升表面活性劑溶液引入反應杯中并放置在反應杯支架上。由表面活性劑儲備溶液制備表面活性劑溶液。在開始測量之前,用Milli-Q水校準儀器。所有測量均在24.0±1°C下進行。
穩態熒光
使用Perkin Elmer LS 50B發光光譜儀進行穩態熒光實驗,以評估24.0±1°C下純膠束和混合膠束溶液的平均聚集數。具有10mm光路的石英池用于測量。激發和發射帶狹縫均保持在5nm,掃描速率選擇為300nm/min。使用芘作為熒光探針,選擇CPYC作為靜態猝滅劑。芘的濃度保持在0.5μM,而猝滅劑濃度在0至100μM之間變化。芘的激發波長為335nm,而發射光譜記錄在360和460nm之間。芘的第一和第三振動峰分別出現在374和384.26nm處。在所有實驗中,表面活性劑的總濃度保持在12mM。由于猝滅劑CPYC本身是表面活性劑,其濃度保持在表面活性劑總濃度的1%以下,因此猝滅劑不會干擾純膠束和混合膠束的組裝。發射光譜掃描兩次并取平均值。獲得的Nagg值的不確定度小于3%。
熒光各向異性
所有熒光各向異性測量均在25.0±0.2°C下使用來自美國的熒光偏振儀器系統(Beacon-2000)進行。該儀器配備了100W鹵素燈作為激發源。羅丹明B(RB)作為熒光探針,其濃度保持在1μM。我們還在12mM純表面活性劑濃度下進行了10 nM至2μM探針濃度的各向異性測量(數據未顯示)。選擇飽和r值(探針完全與膠束結合)下的探針濃度(1μM)作為實驗條件。純和二元混合物的表面活性劑總濃度為12mM。分別使用570和630nm的激發和發射波長測量熒光各向異性。當發射偏振器平行或垂直于偏振激發方向定向時?,分別地各向異性是強度差IkI的比率?總強度Ikt2I?如等式1所示:
給出的各向異性值是10個讀數的平均值。
結果和討論
膠束和界面吸附參數
我們獲得了HTPB和Mega-10混合體系的臨界膠束濃度(cmc)和界面吸附參數。圖1顯示了純和二元表面活性劑混合物的界面張力γvs log Cs的代表圖,其中Cs為表面活性劑總濃度。每個曲線圖顯示γ隨表面活性劑濃度增加而下降,達到特定的斷裂點,該斷裂點被視為cmc值。cmc值如表1和圖2所示。獲得的純組分的cmc值與先前報告的值一致[3、16、17]。除了通過γvs log Cs圖評估cmc外,我們還評估了純表面活性劑和混合表面活性劑在空氣-水界面的界面吸附參數。cmc下的表面活性劑表面過量,Γmax,可通過吉布斯方程[1]確定稀溶液:
其中γ、C、R、T、P和X1、mon分別為界面張力、表面活性劑濃度、理想氣體常數、溫度、壓力和陽離子表面活性劑(HTPB)的單層組成。在等式2中,我們考慮了界面處反離子的吸附,以計算Γmax。界面上表面活性劑物種占據的平均最小面積Amin然后通過以下方程進行評估:
圖1界面張力γ與log Cs/mol dm的關系圖?3.對于HTPB+Mega-10混合體系,在不同α
其中N是阿伏伽德羅數。表1中列出了HTPB和Mega-10混合系統的最大值和最小值。純Mega-十的最大值與報告值一致[3]。Mega-10的Γmax值高于HTPB。這種行為表明兩親性Mega-10比HTPB排列得更緊湊。這是由于存在導致靜電排斥的電荷,以及HTPB分子中存在體積龐大的三苯基,導致空間位阻,防止HTPB分子在界面處緊密堆積。二元混合物的Γmax隨著HTPB摩爾分數的增加而減小。這種效應可以認為是由于HTPB離子頭基團的靜電排斥或空氣-水界面存在熱運動導致單層不穩定。另一方面,Amin值明顯顯示相反的行為,如等式3。
根據cmc值,還可以根據以下方程[1]評估膠束化的標準自由能ΔGo m:
其中R、T和Xcmc分別為理想氣體常數、溫度,cmc為摩爾分數單位。表1中列出了這些值。HTPB的ΔGo m值比Mega-10更負,表明膠束形成對HTPB比Mega-10更有利。對于兩種二元混合物,由于混合cmc值變化不大,ΔGo m值保持不變。除此之外,我們還根據以下關系式[18]評估了空氣-水界面吸附的標準自由能ΔGo ad:
在該方程中,πcmc是cmc下的表面壓力,由γ0給出?γcmc,其中γ0和γcmc分別是溶劑和膠束表面活性劑溶液在cmc處的界面張力。ΔGo ad值計算并列于表1中。然而,ΔGo m和ΔGo ad值均為負值,表明這兩個過程都是自發的。
混合cmc和相互作用參數
為了討論由兩種二元混合物形成的混合膠束的性質,即混合膠束是否顯示理想或非理想行為,我們使用了偽相分離模型[19]。根據該模型,膠束被認為是與含有相應單體的溶液平衡的宏觀相。對于二元表面活性劑混合物,理想cmc由方程[19]關聯:
由于表面活性劑的頭部基團的結構彼此非常不同,因此預期會出現非理想行為。純HTPB和Mega-10及其二元混合物的混合cmc和理想cmc*值如圖2和表1所示。在整個混合范圍內,實驗cmc值明顯偏離理想cmc*數值,表明混合膠束形成過程中存在強協同作用。
圖2 HTPB+Mega-10混合體系混合臨界膠束濃度(cmc)與αHTPB的關系圖。填充的圓圈表示實驗cmc。虛線表示HTPB+Mega-10混合體系理想行為的相分離模型,而實線最符合RST和βmic 12的數據=?3.91
這些結果可以通過使用規則溶液理論(RST)得到證實,該理論不僅表征了混合膠束中的相互作用參數bmic 12,還解釋了偏離理想狀態的原因[20]。根據RST,混合膠束中的活性系數表示如下:
其中f1、f2和X1、mic分別是離子組分(即HTPB)的離子、非離子和膠束組成的活度系數。X1、mic可以從以下等式迭代計算:
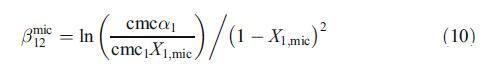
X1,mic值如圖3所示。根據X1,mic值,可以通過以下等式計算交互參數bmic 12:
bmic 12值表明了兩種表面活性劑之間相互作用的程度,這導致偏離理想行為。負bmic 12值表示混合膠束中兩種表面活性劑之間的吸引相互作用,反之亦然。對于理想混合,bmic 12?0。根據等式10,我們獲得了?對于本混合系統為3.91。該值表明混合膠束形成中存在顯著的協同作用。通過解釋離子物種之間非離子表面活性劑分子插入時靜電排斥相互作用的減少,可以考慮協同效應的發生。因此,混合膠束中非離子物種的摻入量越大,混合膠團的穩定性越高。此外,表面活性劑烴鏈之間的疏水相互作用以及表面活性劑頭基團之間的離子-偶極相互作用的發生將有助于混合膠束的穩定性(見下文[17、21、22]。圖3顯示了混合膠束中離子表面活性劑的組成X1、mic隨α-HTPB的變化。X1、mic值表明,由于離子表面活性劑的疏水性大于Mega-10,混合膠束富含HTPB。例如,在αHTPB=0.25時,混合膠團中HTPB的組成達到70%以上。
圖3 HTPB+Mega-10混合體系的膠束(X1,mic)和單層(X1,mon)組成與αHTPB的關系圖





