合作客戶/
拜耳公司 |
同濟大學 |
聯合大學 |
美國保潔 |
美國強生 |
瑞士羅氏 |
相關新聞Info
-
> 燒結礦致密化行為研究:不同堿度條件下熔體的表面張力、表觀黏度值(三)
> 釕催化劑合成丁炔二醇醚三硅氧烷表面活性劑反應條件及表面張力測定(二)
> 3種典型清水劑對不同原油組分界面穩定性、油滴聚并行為的影響(一)
> 無機粒子對TPAE界面張力、發泡、抗收縮行為的影響(三)
> 不同礦漿濃度、粒度、伴生礦物、捕收劑和起泡劑對礦漿表面張力的影響(二)
> 溫度對水—十二烷基硫酸鈉體系與純水體系界面張力、厚度的影響——結果與討論、結論
> 液滴爆炸現象:酒精蒸發引起的馬蘭戈尼流動現象影響參數(一)
> 利用超微量天平制備微孔淀粉處理含Cu(II)離子染料廢水
> 香豆素取代二乙炔LB膜的組裝、聚合及螺旋結構形成機制(下)
> 溫度、鹽對辛基酚聚氧乙烯醚磺酸鹽的油-水界面行為的影響(一)
推薦新聞Info
-
> 不同礦漿濃度、粒度、伴生礦物、捕收劑和起泡劑對礦漿表面張力的影響(三)
> 不同礦漿濃度、粒度、伴生礦物、捕收劑和起泡劑對礦漿表面張力的影響(二)
> 不同礦漿濃度、粒度、伴生礦物、捕收劑和起泡劑對礦漿表面張力的影響(一)
> 長慶油田隴東地區的CQZP-1助排劑表/界面張力測量及現場應用(三)
> 長慶油田隴東地區的CQZP-1助排劑表/界面張力測量及現場應用(二)
> 長慶油田隴東地區的CQZP-1助排劑表/界面張力測量及現場應用(一)
> 液膜斷裂點與電壓最大值在表面張力測量中的對比研究(二)
> 液膜斷裂點與電壓最大值在表面張力測量中的對比研究(一)
> ?表面張力與表面張力系數測量:概念、方法與科學意義
> 微重力下二極對非均勻旋轉磁場控制半浮區液橋表面張力對流的數值研究(下)
氣溶膠固定劑PAM-b-PVTES合成路線及GPC、DSC、表面張力等性能測試(二)
來源:精細化工 瀏覽 1241 次 發布時間:2025-03-05
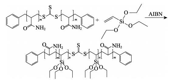
1.2.2大分子鏈轉移劑PAM-CTA的制備
PAM-CTA合成路線如下所示:
在500 mL四口燒瓶中加入200 g無水乙醇、10 g(0.14 mol)AM和一定量DBTTC〔其中,n(AM)∶n(DBTTC)=100∶1、200∶1、300∶1、500∶1、700∶1、1000∶1〕,超聲混合均勻后再加入0.0231 g(0.14 mmol)AIBN,然后在70℃下反應8 h。反應結束后,趁熱出料,過濾。在超聲條件下,用正己烷洗滌沉淀,過濾,重復數次,除去未反應完全的反應物,在45℃下真空干燥24 h,得到淡黃色的PAM-CTA固體粉末。將上述不同n(AM)∶n(DBTTC)制得的產物依次命名為PAM-CTA-1、PAM-CTA-2、PAM-CTA-3、PAM-CTA-4、PAM-CTA-5、PAM-CTA-6。
1.2.3雙親性嵌段共聚物PAM-b-PVTS的合成PAM-b-PVTES合成路線如下所示:
在500 mL四口燒瓶中加入300 g無水乙醇、0.0231 g(0.14 mmol)AIBN和10.0816 g(0.28 mmol)PAM-CTA-4,用超聲波將PAM-CTA-4混合均勻分散,再加入VTES〔其中,n(VTES)∶n(AM)=5∶100、10∶100、15∶100、20∶100〕,在70℃下反應8 h。反應結束后趁熱出料,過濾。在超聲條件下,用正己烷洗滌沉淀,過濾,重復數次,在45℃真空干燥24 h,得到PAM-b-PVTES固體粉末。將上述不同n(VTES)∶n(AM)制得的產物依次命名為PAM-b-PVTES-1、PAM-b-PVTES-2、PAM-b-PVTES-3、PAM-b-PVTES-4。
1.3結構表征與性能測試
1.3.1結構表征
FTIR測試:采用溴化鉀壓片法進行FTIR測試。1HNMR測試:DBTTC采用氘代丙酮作溶劑,PAM-CTA-4和PAM-b-PVTES-2采用重水作為溶劑。
1.3.2性能測試
DSC測試:測試溫度在0~220℃之間,升溫速率為20℃/min,測試氣氛為N2,第一次升溫到220℃后,為了消除樣品的熱歷史,按照20℃/min速率降溫到–20℃,隨后對樣品進行第二次升溫,升溫速率20℃/min,N2氣氛。GPC測試:以水為流動相,聚苯乙烯(PS)為標準樣品,測試共聚物的相對分子質量及其分布。黏度測試:配制固含量為20%的共聚物水溶液,在恒溫(25℃)下測定其黏度,結果為6次測試的平均值。表面張力測試:配制固含量為20%的共聚物水溶液,在恒溫(25℃)下測定其共聚物水溶液的表面張力,結果為6次測試的平均值。接觸角測試:由于放射性氣溶膠不易控制和采集,因此,選用PTI-A2實驗粉塵來模擬放射性氣溶膠粉塵。配制固含量為20%的共聚物水溶液,將3 g PTI-A2實驗粉塵壓制成小圓片,測定不同單體比例的共聚物水溶液與PTI-A2實驗粉塵的接觸角。
1.3.3氣溶膠沉降固定實驗
用流化床氣溶膠發生器將4 g PTI-A2實驗粉塵均勻地分散到自制8 m3密閉空間中,隨后霧化噴淋1 L壓制劑或固定劑,霧化噴淋結束后,在無擾動情況下采用空氣動力學粒徑譜儀檢測氣溶膠在20 min內單位體積內顆粒數的變化情況。
2結果與討論
2.1 FTIR和1HNMR分析
選用PAM-CTA-4和PAM-b-PVTES-2樣品進行FTIR和1HNMR表征。
圖1為聚合物的FTIR譜圖。由圖1可知,對于PAM-CTA-4,3202 cm–1處為—NH2的伸縮振動吸收峰,1620 cm–1處為C==O鍵的伸縮振動吸收峰,1192 cm–1處的吸收峰為C—S鍵的伸縮振動,1049 cm–1處的吸收峰為C==S鍵的伸縮振動,1415 cm–1處的吸收峰歸屬于苯環骨架的伸縮振動,639 cm–1處的吸收峰為苯環上單取代的特征峰,表明聚合物PAM-CTA-4已經成功制備。在PAM-b-PVTES-2的FTIR譜圖中,879 cm–1處為Si—C鍵的伸縮振動吸收峰,1087 cm–1處為Si—O鍵的伸縮振動吸收峰,表明聚合物已成功制備。
圖1 PAM-CTA-4和PAM-b-PVTES-2的FTIR譜圖
圖2為DBTTC、PAM-CTA-4和PAM-b-PVTES-2的1HNMR譜圖。如圖2所示,DBTTC的1HNMR譜圖曲線中δ=1.92(a)為氘代丙酮的質子峰,δ=7.13~7.31(b)是苯環上的質子峰;δ=4.56(c)的峰為亞甲基(—CH2—)的質子峰;δ=2.62(i)為DBTTC樣品中含有的極少量H2O的質子峰,可以確定成功合成了RAFT試劑DBTTC。PAM-CTA-4和PAM-b-PVTES-2的1HNMR譜圖曲線中,δ=4.80(j)為重水(D2O)的質子峰;δ=7.27~7.48(b)是苯環上的質子峰;δ=4.82(d)為酰胺基(—NH2)的質子峰;δ=1.95~2.24(e)是主鏈上的次甲基(—CH—)的質子峰;δ=1.31~1.66(f)是主鏈上的亞甲基(—CH2—)的質子峰。在PAM-CTA-4曲線中,δ=3.78~3.82(c)為與苯環相連亞甲基的質子峰。PAM-b-PVTES-2曲線中δ=3.39~3.43(c+h)為與苯環相連和乙烯基中的亞甲基(—CH2—)質子峰;δ=0.93~0.95(g)為有機硅中甲基(—CH3)的質子峰。通過FTIR譜圖和1HNMR譜圖可以確定合成了PAM-CTA-4和PAM-b-PVTES-2。
圖2 DBTTC、PAM-CTA-4和PAM-b-PVTES-2的1HNMR譜圖
氣溶膠固定劑PAM-b-PVTES合成路線及GPC、DSC、表面張力等性能測試(一)
氣溶膠固定劑PAM-b-PVTES合成路線及GPC、DSC、表面張力等性能測試(二)





